• Предмет: Алгебра
  • Автор: Nameles
  • Вопрос задан 11 лет назад

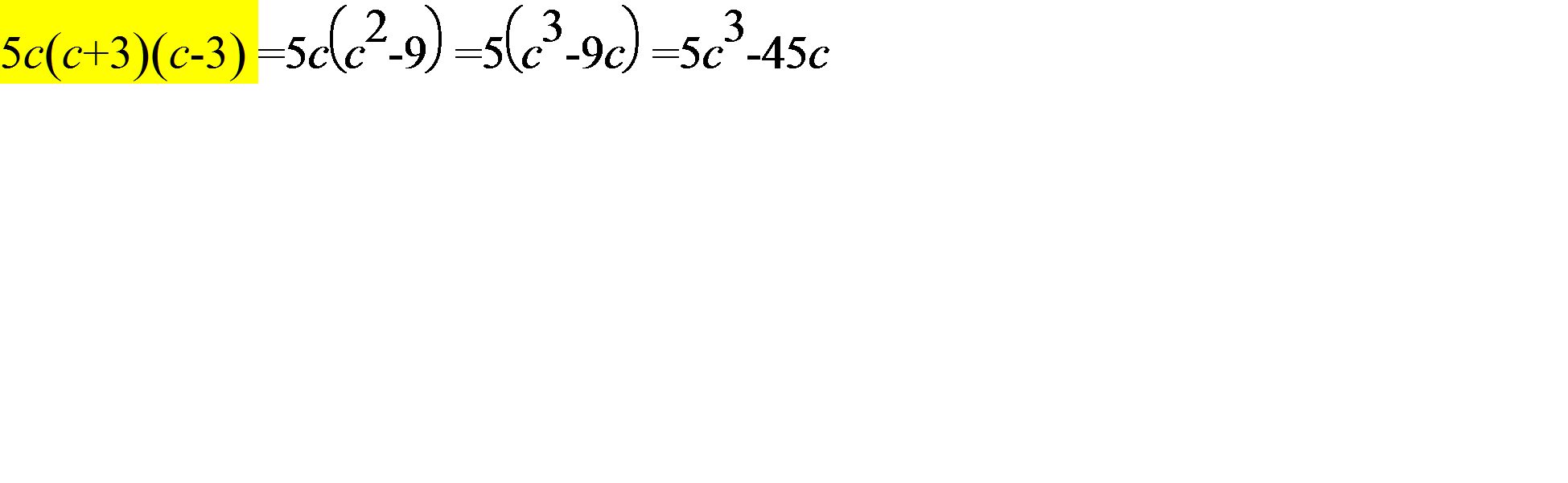
Преобразуйте выражение в многочлен стандартного вида : 

 5с(с+3)(с-3)

Ответы

Ответ дал: triolana
0

afqk

-------------------------

Приложения:
Ответ дал: LeIIIka
0

5c в кубе -45с

Наверное так.

 

 

Приложения:
Вас заинтересует