• Предмет: Алгебра
  • Автор: kosumbetovadilbek
  • Вопрос задан 3 года назад

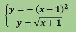
Решить графически систему:



пж это срочно пж

Приложения:

Ответы

Ответ дал: dinarabisembaeva1
0

Объяснение:

я не знаю извините

чесно говоря

Ответ дал: ayagozospanova2030
0

Вот так наверное........

Приложения:
Вас заинтересует