• Предмет: Математика
  • Автор: marina19862011mo
  • Вопрос задан 3 года назад

решите срочно пожалуйста ​

Приложения:

Ответы

Ответ дал: boberon
1

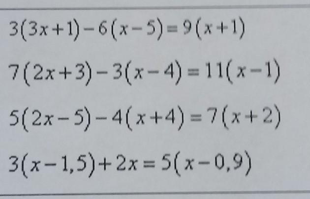
1) 3(3x + 1) – 6(x – 5) = 9(x + 1)

9x + 3 – 6x + 30 = 9x + 9

9x – 9x + 6x = 3 + 30 – 9

6x = 24

x = 24 / 6 = 4

2) 7(2x + 3) – 3(x – 4) = 11(x – 1)

14x + 21 – 3x + 12 = 11x – 11

14x – 3x – 11x = –11 – 21 – 12

0x = –44

0 = –44

Нет решений

3) 5(2x – 5) – 4(x + 4) = 7(x + 2)

10x – 25 – 4x – 16 = 7x + 14

7x – 10x + 4x = –25 – 16 – 14

x = –55

4) 3(x – 1,5) + 2x = 5(x – 0,9)

3x – 4,5 + 2x = 5x – 4,5

3x + 2x – 5x = –4,5 + 4,5

0x = 0

0 = 0

x -- любое число


marina19862011mo: спасибо
Вас заинтересует