• Предмет: Математика
  • Автор: krylovv62a
  • Вопрос задан 3 года назад

Помогите срочно!!!!!!!!!!!!!!!!!!!!!!! ​

Приложения:

Ответы

Ответ дал: boberon
2

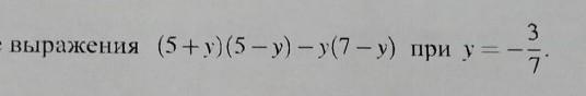
(5 + y)(5 – y) – y(7 – y) = 5² – y² – 7y + y² = 25 – 7y

Подставим y = –3/7: 25 – 7(–3/7) = 25 + 3 = 28

Ответ: 28


isko1451101: тфу тоесть могу
krylovv62a: давай
isko1451101: тфу тоесть могу
isko1451101: какой у тебя номер в вацапе
isko1451101: пришлю решение
boberon: Сюда выкладывай. За слова надо отвечать.
krylovv62a: давай лучше с другим поможешь?
isko1451101: как
krylovv62a: заново выложу
isko1451101: ок
Ответ дал: ksyhago1233
0

Ответ:28

Пошаговое объяснение:

24 40/49 3 9/49

4 3/7 5 3/7 7 3/7

(5+у)(5-у)-у(7-у)=(5-3/7)(5+3/7)+3/7(7+3/7)=28

Вас заинтересует