• Предмет: Математика
  • Автор: Ik345kal
  • Вопрос задан 3 года назад

Помогите плиз(карточка)
3 и 4 задание

Приложения:

Ответы

Ответ дал: yaroslav9182
1

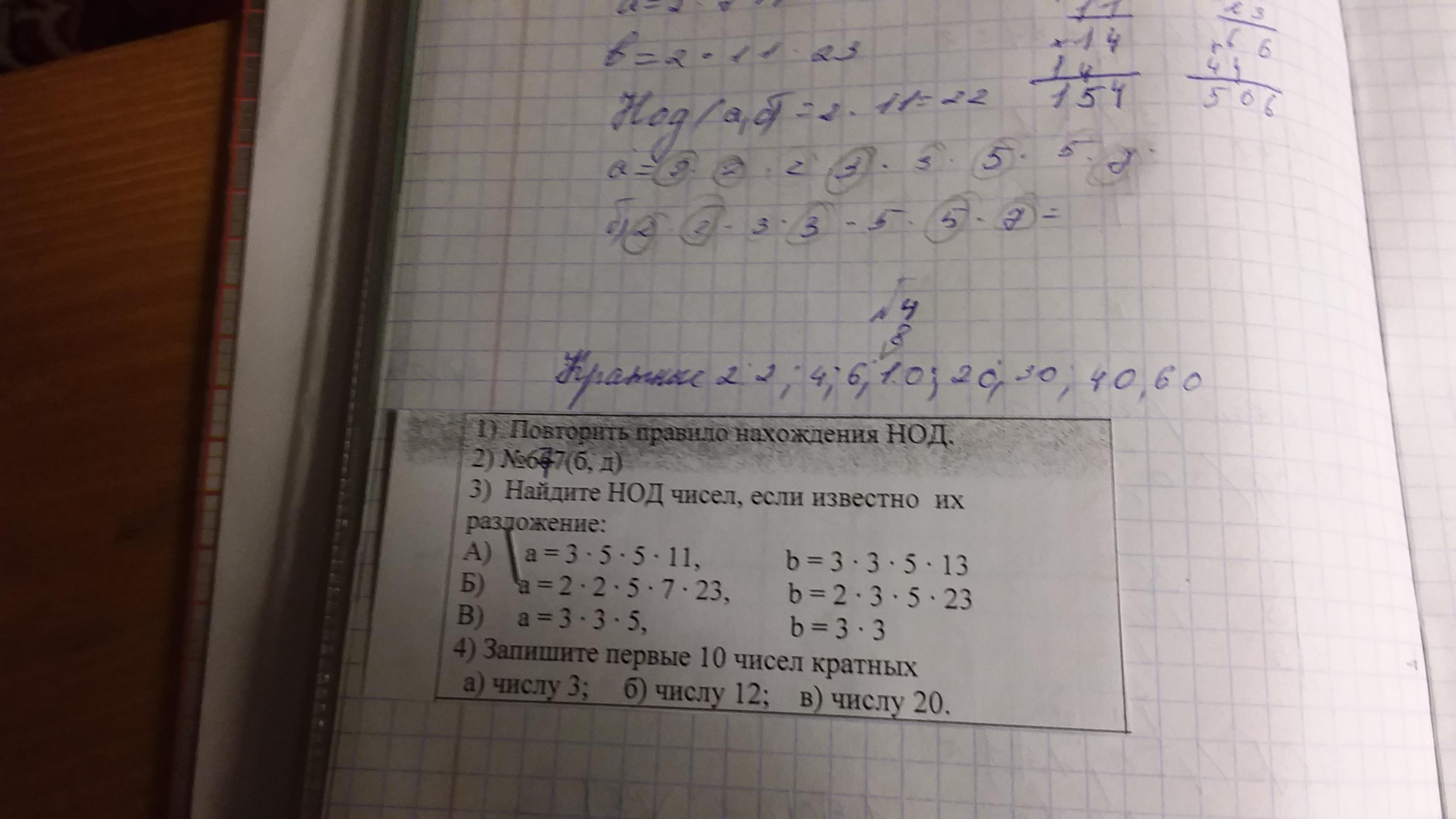
Ответ:

3.

А) 15

Б) 230

В) 9

4. а) 3; 6; 9 ; 12; 15; 18; 21; 24; 27; 30

б) 12; 24; 36; 48; 60; 72; 84; 96; 108; 120

в) 20; 40; 60; 80; 100; 120; 140; 160; 180; 200

Пошаговое объяснение:

Вас заинтересует