Ответы
Ответ дал:
5
Ответ:
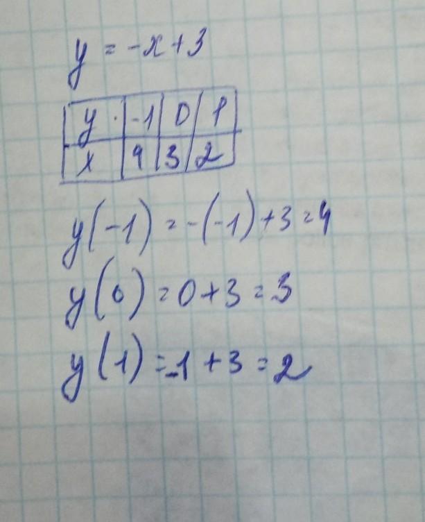
Решение и ответ на фото.......
Только нужно нормально линейкой начертить как на втором фото
Приложения:


Аноним:
если понравился ответ, не забывай ПОДПИСЫВАТЬСЯ ☺️
Вас заинтересует
2 года назад
2 года назад
7 лет назад
7 лет назад
9 лет назад