Ответы
Ответ дал:
0
Ответ:
-3
Объяснение:
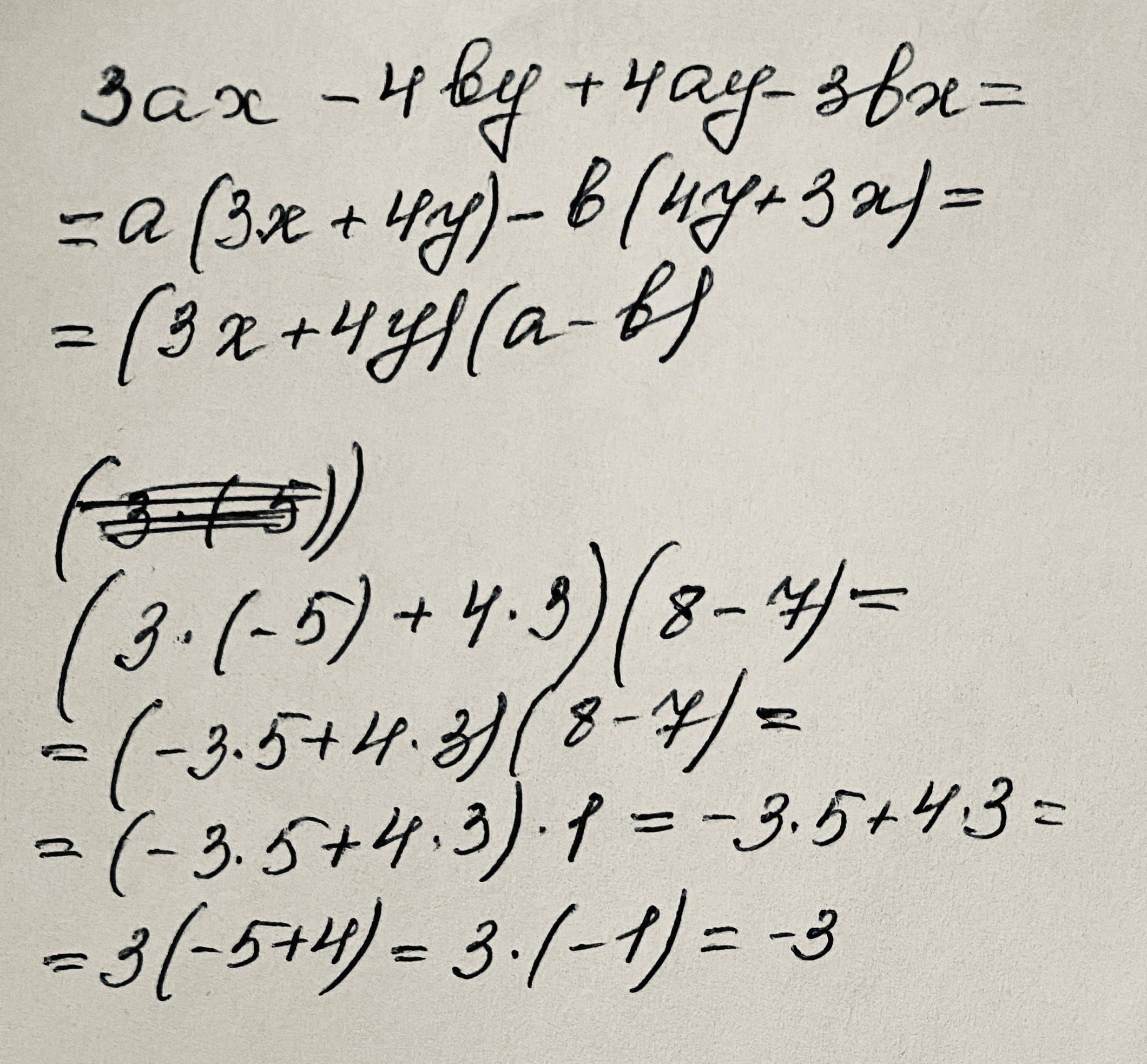
3х(а-b)+4y(a-b)=
÷(a-b)(3x+4y)
(8-7)(3×(-5)+4×3)=-15+12=-3
Ответ дал:
1
Решение смотри на фото. Решение расписала, чтобы было понятно, можешь сократить.
Приложения:

vikkab74Vikila:
Буду благодарна за лучший ответ.
Вас заинтересует
2 года назад
2 года назад
2 года назад
8 лет назад
9 лет назад