Ответы
Ответ дал:
0
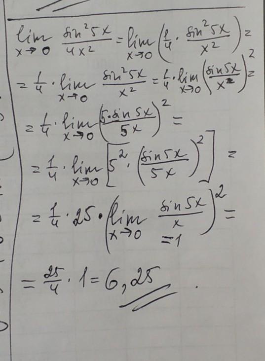
Ответ:
= 6,25
Пошаговое объяснение:
решение во вложении
Приложения:

Вас заинтересует
2 года назад
2 года назад
2 года назад
8 лет назад
9 лет назад