Пожалуйста,помогите,даю 70 баллов!!
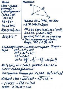
Через вершину A прямоугольного равнобедренного треугольника ABC с гипотенузой AB,равной 8 см,проведена прямая AD,перпендикулярная плоскости треугольника. Расстояние от точки D до плоскости ABC равно 2 см. Найдите расстояние от точки D до прямой BC.
Ответы
Ответ дал:
9
Ответ:
Через вершину A прямоугольного равнобедренного треугольника ABC с гипотенузой AB,равной 8 см,проведена прямая AD,перпендикулярная плоскости треугольника. Расстояние от точки D до плоскости ABC равно 2 см. Найдите расстояние от точки D до прямой BC.
Приложения:

leyla200455:
Спасибо огромное!!
Вас заинтересует
2 года назад
2 года назад
2 года назад
8 лет назад