• Предмет: Алгебра
  • Автор: Nameles
  • Вопрос задан 11 лет назад

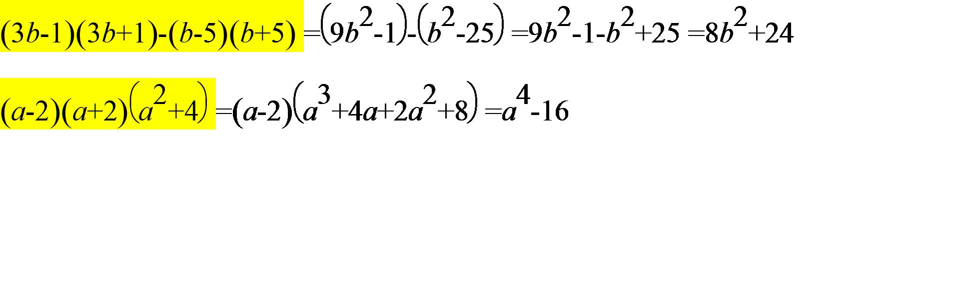
Преобразуйте выражение в многочлен стандартного вида : 

(3в-1)(3в+1)-(в-5)(в+5)

(а-2)(а+2)(а во второй степени+4) 

Ответы

Ответ дал: triolana
0

файл

--------------------------------

Приложения:
Вас заинтересует