ПОМОГИТЕ ПОЖАЛУЙСТА!! ОЧЕНЬ СРОЧНО
Решите задачу
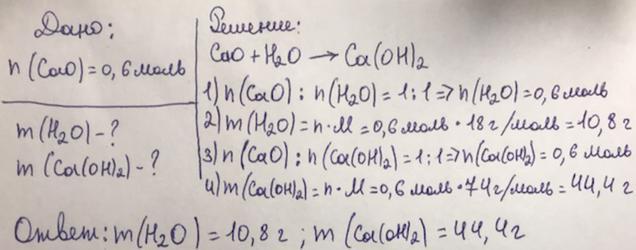
Химическое количество оксида кальция, вступившего в реакцию с водой равно 0, 6 моль. Рассчитайте массы прореагировавшей воды и полученного гидроксида кальция.
Ответы
Ответ дал:
1
Ответ:
m(воды) = 10,8 г
m(гидроксид кальция) = 44,4 г
Решение: см на фото
*Должно быть верно
m(воды) = 10,8 г
m(гидроксид кальция) = 44,4 г
Решение: см на фото
*Должно быть верно
Приложения:

vikaaaaaassss:
Спасибо большое!!)
Вас заинтересует
2 года назад
2 года назад
2 года назад
8 лет назад
8 лет назад
9 лет назад