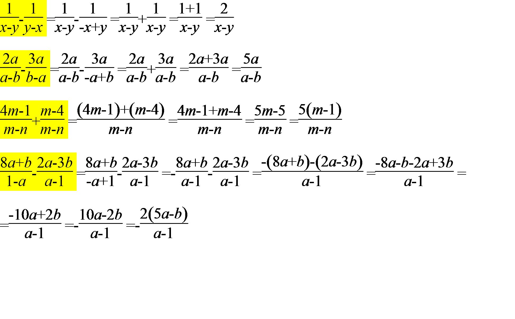
ПОМОГИТЕ ПОЖАЛУЙСТА -ВЫПОЛНИТЬ ДЕЙСТВИЯ А)1/X-y-1/y-x= Б)2a/a-b-3a/b-a= В)4m-1/n-m+m-4/m-n= Г)8a+b/1-a-2a-3b/a-1=
ЭТО ДРОБИ!!!
Ответы
Ответ дал:
0
файл
---------------------------------
Приложения:
Вас заинтересует
3 года назад
3 года назад
8 лет назад
8 лет назад
11 лет назад
11 лет назад
11 лет назад