Пожалуйста, объясните, как трёхчлен только со знаками минусов представить в виде двучлена? Подробное объяснение, пожалуйста!
Пример: -a^4-0,8a^6-0,16a^8
(^ - степень)
matilda17562:
У осните, пожалуйста, задание. "В виде....двучлена(?).."?
Ответы
Ответ дал:
1
Ответ:
Объяснение:
всё просто формула сокращённого умножения
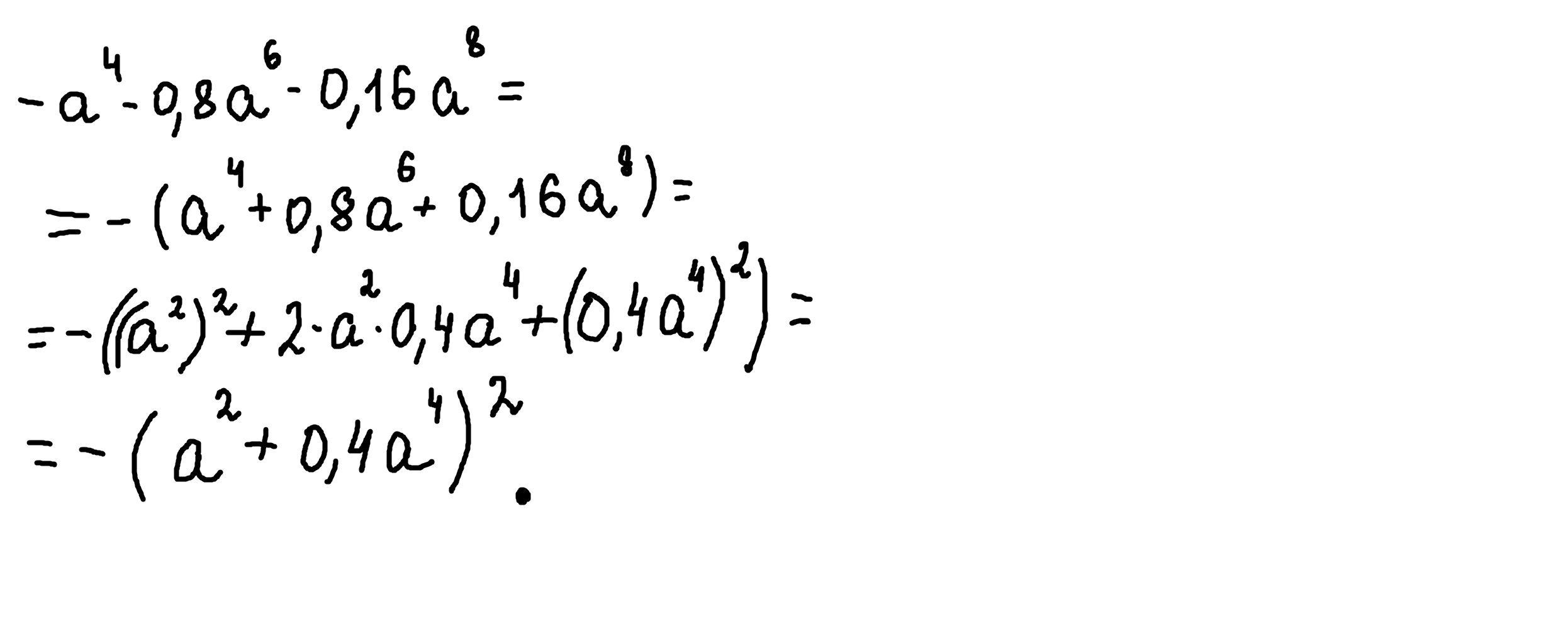
= -a^4-0,8a^6-0,16a^8
Ответ дал:
1
Ответ:
Объяснение:
решение внизу.
Ничего страшного нет,просто вынеси этот знак "минус" за скобки,при этом все слагаемые(которые будут уже записываться в скобках)будут менять свой знак на ПРОТИВОПОЛОЖНЫЙ.А потом применяй формулы квадрат разности или квадрат суммы
а²+2ав+в²=(а+в)² а²-2ав+в²=(а-в)²
Приложения:

Вас заинтересует
2 года назад
2 года назад
2 года назад
2 года назад
8 лет назад