• Предмет: Алгебра
  • Автор: nastenka083021
  • Вопрос задан 3 года назад

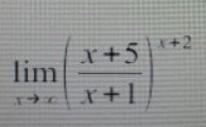
Помогите пожалуйста с примером.Вычислить лимит.​

Приложения:

Ответы

Ответ дал: hote
1

\displaystyle  \lim_{x \to \infty} (\frac{x+1+4}{x+1})^{x+1+1}= \lim_{x \to \infty} (1+\frac{4}{x+1})^{x+1}*(1+\frac{4}{x+1})=e^4*1=e^4

пользовались вторым замечателльным пределом

\displaystyle  \lim_{n \to \infty} (1+\frac{n}{x})^{x}=e^n

Вас заинтересует