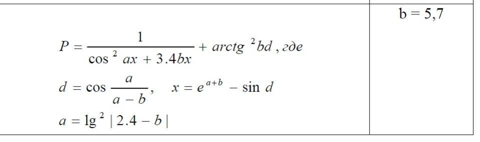
Вычислить значение функции по формуле, произведя предварительные расчеты входящих в нее величин для заданных значений.
Приложения:

BobbyFresnel:
Язык не принято указывать там у вас?
Ответы
Ответ дал:
1
##
var b := 5.7;
var a := Sqr(Log10(Abs(2.4 - b)));
var d := Cos(a / (a - b));
var x := Exp(a + b) - Sin(d);
var P := 1/(Sqr(Cos(a*x))+3.4*b*x)+Sqr(ArcTan(b*d));
Print(P)
Приложения:

Вас заинтересует
2 года назад
2 года назад
2 года назад
2 года назад
8 лет назад
8 лет назад
9 лет назад