Ответы
Ответ дал:
1
Ответ:
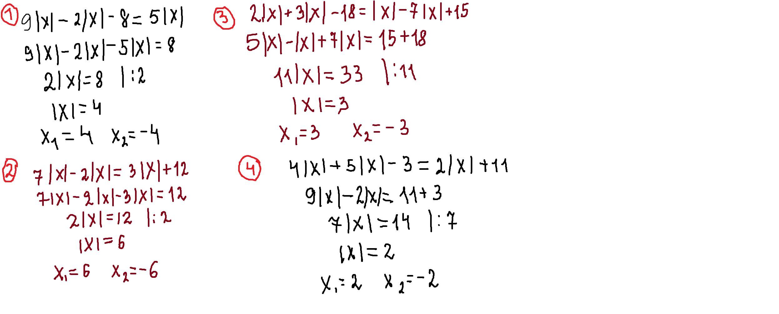
1)9|x|-2|x|-8=5|x|
Пошаговое объяснение:
1)9x-2x-8=5x;2x=8;x=4;x=-4 2)7|x|-2|x|=3|x|+12;5x-3x=12;x=6;x=-6; 3)2|x|+3|x|-18=|x|-7|x|+15;5x-x+7x=15+18;11x=33;x=3;x=-3;4)4|x|+5|x|-3=2|x|+11;7x=14;x=2;x=-2
Ответ дал:
0
Ответ:
Пошаговое объяснение:
решение смотри внизу
Приложения:

Вас заинтересует
2 года назад
2 года назад
2 года назад
8 лет назад
9 лет назад