• Предмет: Математика
  • Автор: cherrry1527
  • Вопрос задан 3 года назад

Решить матричное уравнение

Приложения:

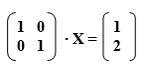
aastap7775: Слева единичная матрица, следовательно, x = (1, 2)

Ответы

Ответ дал: iosiffinikov
0

Ответ:

1

2

Пошаговое объяснение:

Слева единичная матрица, поэтому Х совпадает с правой частью

       

Вас заинтересует