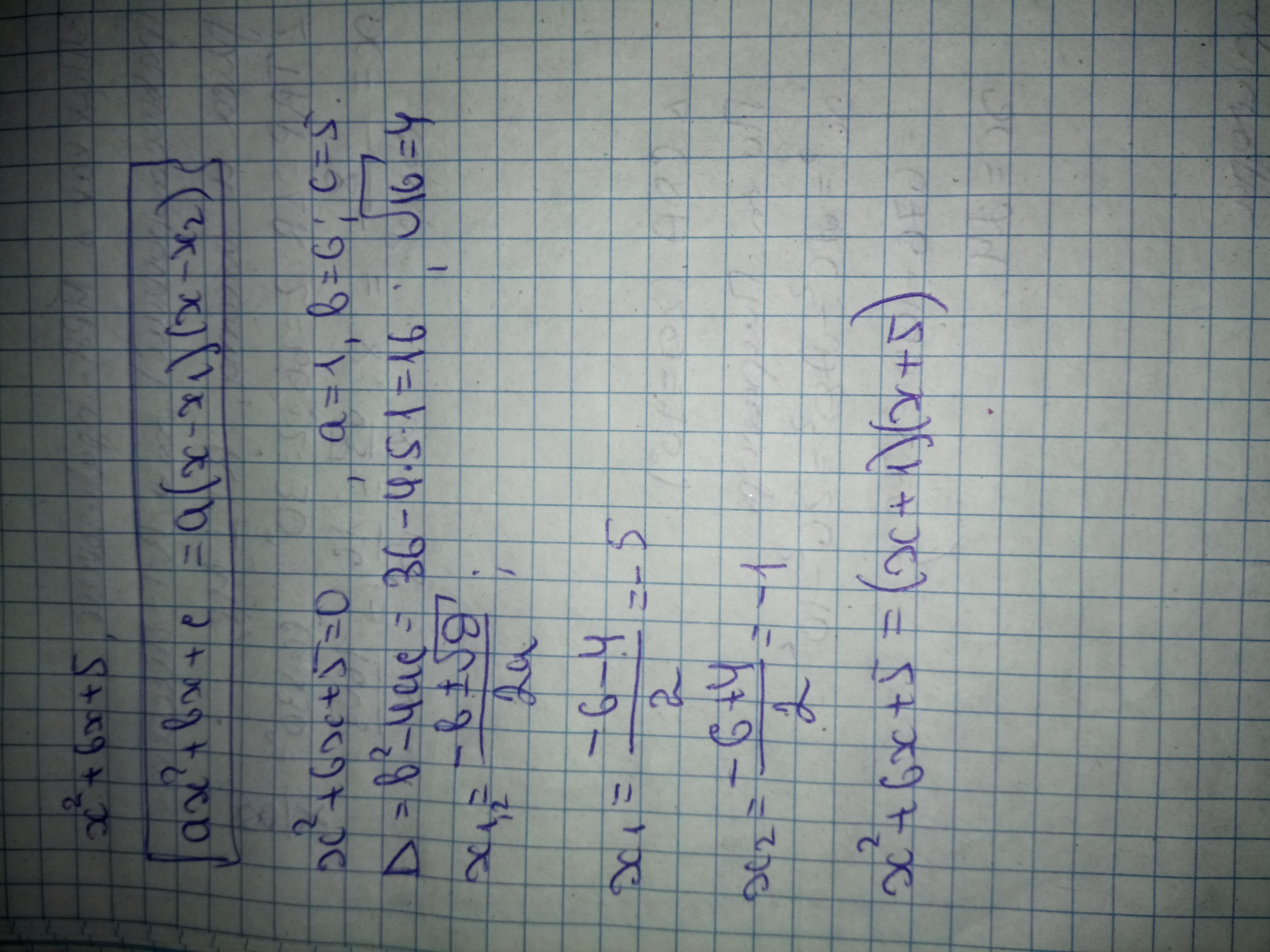
разложите на множители трёхчлен x²+6x+5
Аноним:
Класс какой? От этого зависит решение. Квадратные уравнения тема?
Ответы
Ответ дал:
1
Решение задания прилагаю
Приложения:

Вас заинтересует
2 года назад
2 года назад
8 лет назад
9 лет назад