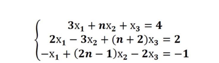
Решить СЛУ методом Крамера
Приложения:

Miroslava227:
здесь, наверное, вместо n подставить цифру нужно?
Ответы
Ответ дал:
2
Ответ:
решение на фотографии.
Приложения:

Вас заинтересует
2 года назад
2 года назад
2 года назад
8 лет назад
8 лет назад