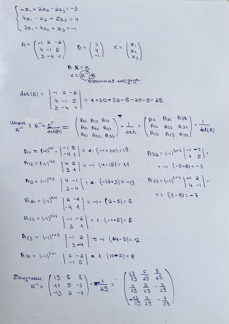
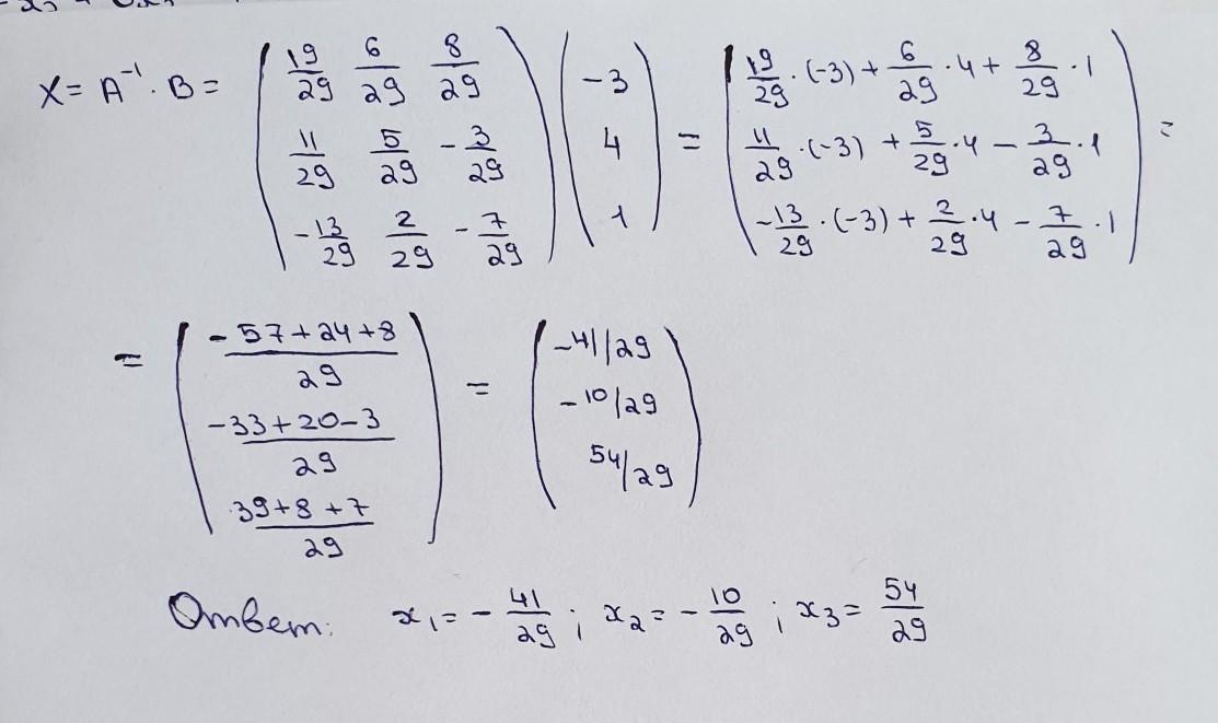
Решить СЛУ методом обратной матрицы
Спам будет удалён, пишите решение
Приложения:

smorodinkalolp0t266:
Вместо н подставить 2
Ответы
Ответ дал:
3
Ответ:
решение на фотографиях
Приложения:


Вас заинтересует
2 года назад
2 года назад
2 года назад
2 года назад
8 лет назад
8 лет назад
9 лет назад
9 лет назад