• Предмет: Алгебра
  • Автор: lesswords
  • Вопрос задан 11 лет назад

помогите пожалуйста!
просто объясните как решать это?
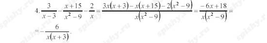
не могу понять куда делось 18  в ответе?что с ним сделали?где то сократили или как то сосчитали?объясните пожалуйста!

Приложения:

Ответы

Ответ дал: Матов
0
frac{-6x+18}{x(x^2-9)} = frac{-6(x-3)}{x(x-3)(x+3)}  = frac{-6}{x(x+3)}
Вас заинтересует