• Предмет: Физика
  • Автор: malitskyiandrii
  • Вопрос задан 3 года назад

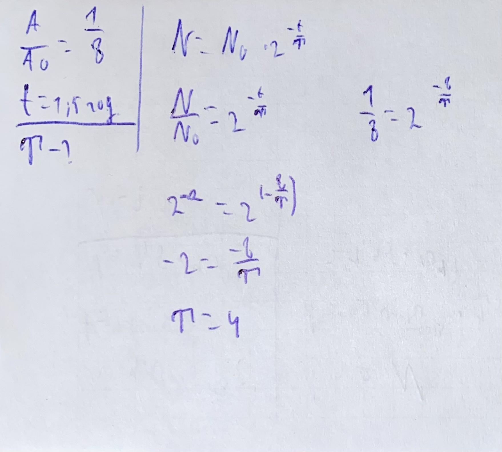
Активність радіоактивного елемента зменшилася у 8 разів за 1.5 год. Визначте період напіврозпаду

Ответы

Ответ дал: EcCoNiK
9

Ответ:

Т=4

Объяснение:

Приложения:
Вас заинтересует