• Предмет: Математика
  • Автор: bineckaanatasa
  • Вопрос задан 3 года назад

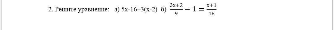
Помогите решить уравнение пожалуйста(расписанно)

Приложения:

Ответы

Ответ дал: Аноним
1

Ответ:

Пошаговое объяснение:

1)

5х-16=3х-6

2х=10

х=5.

2)

(3х+2)/9-1=(х+1)/18

6х+4-18=х+1

5х=15.

х=3.

Ответ дал: crevetkaaa
1

Ответ:

a) 5x-16=3(x-2)

5x-16=3x-6

5x-3x=16-6

2x=10

x=5

б) 3x+2/9-1=x+1/18 (*18)

6x+4-18=x+1

6x-x=1-4+18

5x=15

x=3

Пошаговое объяснение:

Вас заинтересует