• Предмет: Алгебра
  • Автор: kostyamorvanuk
  • Вопрос задан 3 года назад

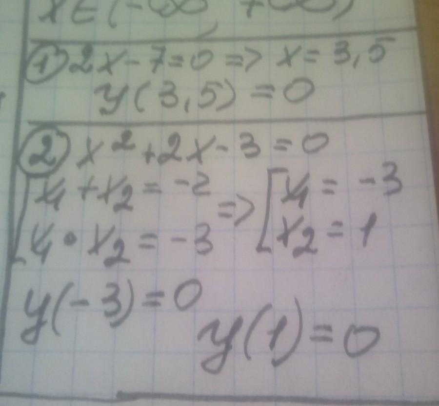
Знайдіть нулі функції:
1) у = 2х – 7;
2) у = х2 + 2x – 3.​


kostyamorvanuk: Бажано з розвязанням

Ответы

Ответ дал: manyny06
1

Ответ:

решение на фотографии

Приложения:
Вас заинтересует