Напишите уравнение касательной к графику функции у =х^3- 3х в точке с абсциссой х_0 =2.
Приложения:

ertret65:
вот ответ
Ответы
Ответ дал:
1
Пошаговое объяснение:
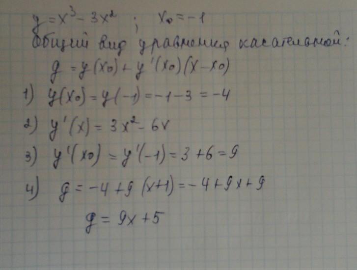
ответ на фото хорошего и удачного дня
Приложения:

Вас заинтересует
2 года назад
2 года назад
2 года назад
2 года назад
8 лет назад
8 лет назад
9 лет назад
9 лет назад