• Предмет: Алгебра
  • Автор: Mike7630
  • Вопрос задан 3 года назад

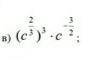
упростите выражение:

Приложения:

Ответы

Ответ дал: muhambek2004
0

Объяснение:

(c^{\frac{2}{3} })^{3} * c^{-\frac{3}{2} }   =c^{2} * c^{-\frac{3}{2} } = (c^{2})^{-\frac{3}{2} }=c^{-3} = \frac{1}{c^{3} }

Вас заинтересует