• Предмет: Математика
  • Автор: bag223
  • Вопрос задан 3 года назад

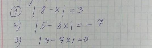
Решите уравнения пожалуйста​

Приложения:

Ответы

Ответ дал: parus77
0

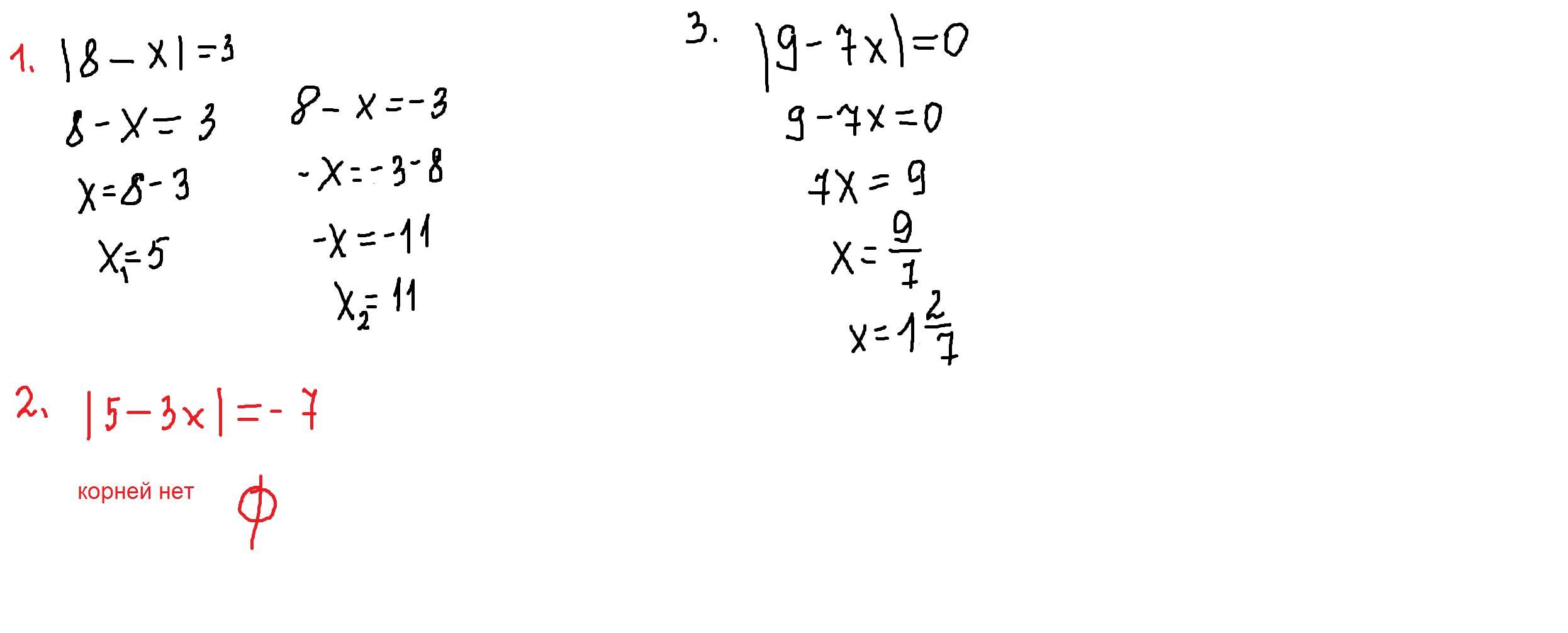
Ответ:

Пошаговое объяснение:

решение внизу

|a| число положительное,поэтому во 2 уравнении нет корней

Приложения:
Вас заинтересует