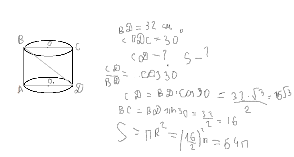
диагональ осевого сечения цилиндра равна 32 см у наклонена к плоскости его основания под углом 30 градусов. найдите высоту и площадь основания цилиндра.
Ответы
Ответ дал:
0
СМотри здесь..................
Приложения:

Вас заинтересует
2 года назад
2 года назад
8 лет назад
8 лет назад
10 лет назад
10 лет назад
10 лет назад