Ответы
Ответ дал:
0
Ответ:
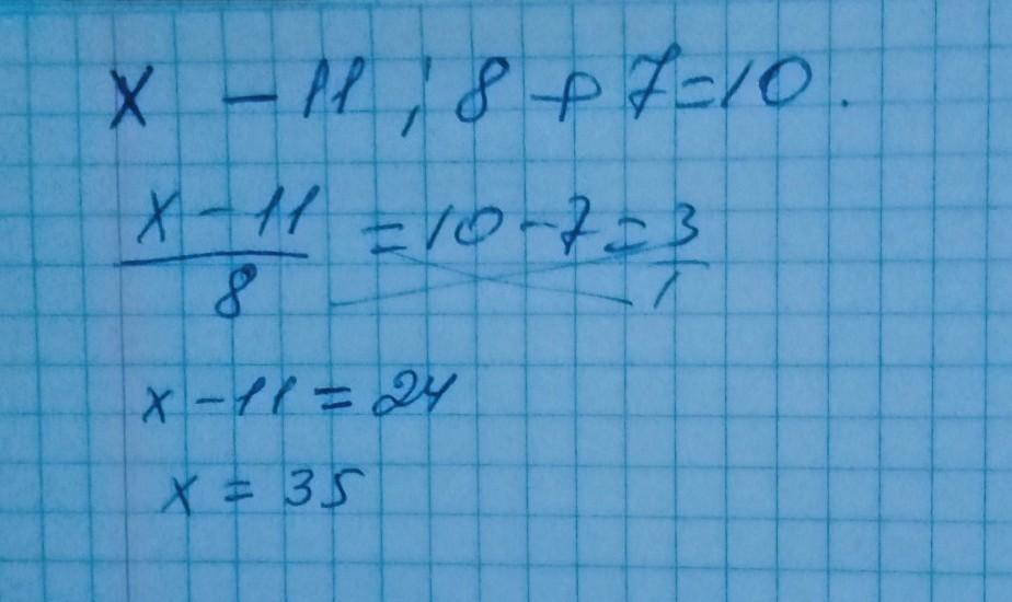
Ответ 35.Вместо некоторого числа ставим х и решаем так ,как говориться в задаче.
Приложения:

Вас заинтересует
2 года назад
2 года назад
2 года назад
8 лет назад
8 лет назад
9 лет назад
9 лет назад