• Предмет: Алгебра
  • Автор: sevchencooleksandr56
  • Вопрос задан 3 года назад

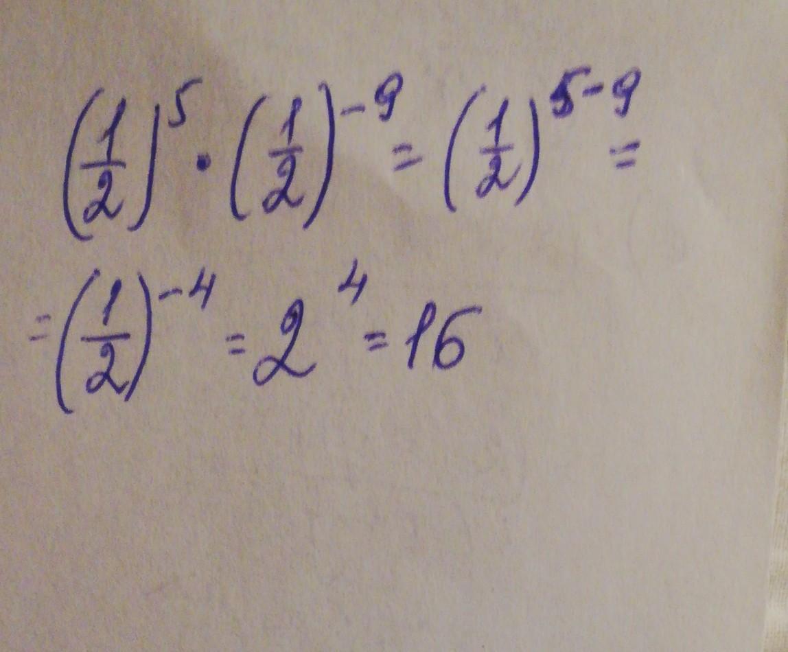
Обчисліть
( \frac{1}{2}) {}^{5}  \times ( \frac{1}{2}) {}^{ - 9 }

Ответы

Ответ дал: serovaksusa1
1

Ответ:

Смотри решение на фото

Приложения:
Вас заинтересует