• Предмет: Химия
  • Автор: elza9922
  • Вопрос задан 10 лет назад

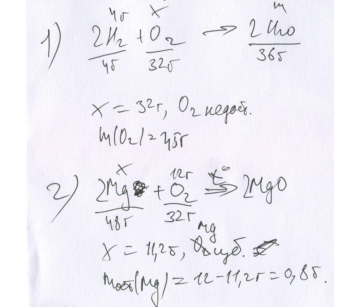
1) Для реакции взяли 4 г. водорода и 4г. кислорода. Определите массу и количество вещества воды, которая будет получена .
2)При взаимодействии 12г. магния с 12г. кислорода был получен оксд магния. Определите его массу .Какое из исходных веществ и в каком количестве останется в избытке ???

Ответы

Ответ дал: konstantinglinov
0
................................
Приложения:
Вас заинтересует