• Предмет: Математика
  • Автор: katerinabogomaz2000
  • Вопрос задан 3 года назад

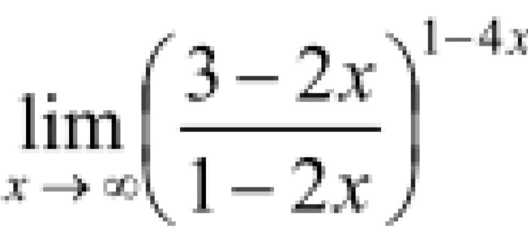
lim стремиться к бесконечности ((3-2x)/(1-2x))^(1-4x)

Приложения:

Ответы

Ответ дал: hote
1

\displaystyle \lim_{x \to \infty} (\frac{3-2x}{1-2x})^{1-4x}= \lim_{x \to \infty} (\frac{2x-3}{2x-1})^{1-4x}= \lim_{x \to \infty} (1-\frac{2}{2x-1})^{1-4x}=\\\\= \lim_{x \to \infty} (1+\frac{1}{\frac{2x-1}{-2}})^{1-4x}= \lim_{x \to \infty} (1+\frac{1}{\frac{1-2x}{2}})^{(\frac{1-2x}{2})*(1-4x)*(\frac{2}{1-2x})}=e^{ \lim_{x \to \infty} \frac{2-8x}{1-2x}}=\\\\=e^4

Вас заинтересует