• Предмет: Алгебра
  • Автор: guest74
  • Вопрос задан 3 года назад

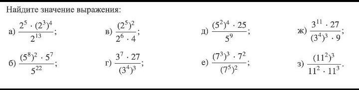
пожалуйста, помогите решить срочно!! даю 10 баллов!​

Приложения:

Ответы

Ответ дал: iloveyouplushka
1

Должно быть правильно. Всё на фото.

Приложения:
Вас заинтересует