• Предмет: Алгебра
  • Автор: guest74
  • Вопрос задан 3 года назад

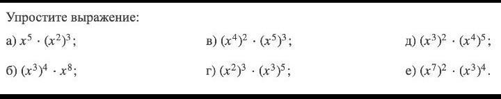
Пожалуйста, помогите решить срочно! даю 10 баллов!​

Приложения:

Ответы

Ответ дал: superalisa2009
1

Ответ:

Объяснение:

А)(2Х⁷)³

Б)(2х¹¹)⁴

В)(2х⁹)⁸

Г)(2х⁵)⁵

Д)(2х⁷)⁷

Е)(2х¹⁰)⁶

Ответ дал: latyshkovaarina2
1

Ответ:

решение на фото

Объяснение:

я эту тему проходила у меня по этой теме 5

так что зуб даю что правильно :-)

Приложения:
Вас заинтересует