Ну кто-нибудь помогите ПОЖАЛУЙСТА!!!!!!!!
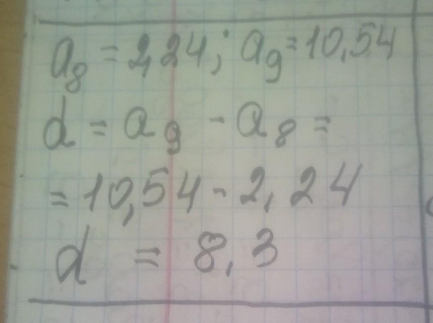
Даны члены арифметической прогрессии а8=2,24 и a9=10,54
Вычислите разность прогрессии d
Ответы
Ответ дал:
0
Ответ:
решение на фотографии
Приложения:

6yTep6pog:
Можете помочь мне с геометрией?
Вас заинтересует
2 года назад
2 года назад
2 года назад
2 года назад
9 лет назад