• Предмет: Физика
  • Автор: Daria1592
  • Вопрос задан 3 года назад

Начальная скорость тела равна 5м/сек, а через 10 сек. скорость стала 35 м/сек. Чему равно ускорение тела?


Daria1592: Пожалуйста помогите

Ответы

Ответ дал: denleon046
1

Ответ:

Объяснение:

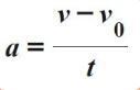
Чтобы найти ускорение a, разделим разность начальной скорости и конечной на время.

Приложения:
Вас заинтересует