• Предмет: Математика
  • Автор: maus4543
  • Вопрос задан 3 года назад

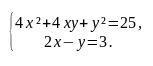
Помогите решить систему уравнений

Приложения:

Ответы

Ответ дал: osimonov14
1

Ответ: (-1/2;-4)(2;1)

Пошаговое объяснение:

1. y=-3+2x

2. 4x^2+4x×(-3+2x)+(-3+2x)^2=25

Решаешь через дискриминант и получаешь вот это:

x1=-1/2

x2=2

3. Подставляешь полученные значения в пункт номер 1, то есть

у=-3+2х

у1=-3+2×(-1/2)

y1=-4

y2=-3+2×2

y2=1

Ответ: (-1/2;-4)(2;1)


osimonov14: +переделываешь под то, как вас учили
maus4543: Большое спасибо
osimonov14: Пожалуйста!)
Вас заинтересует