• Предмет: Геометрия
  • Автор: Fozex
  • Вопрос задан 3 года назад

[photo] (даю много баллов)

Приложения:

Ответы

Ответ дал: liudakashenko
1

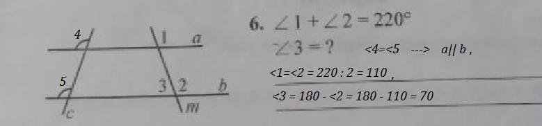
Ответ:

70°

Объяснение:

a и b паралельне, с и m можем считать сечными.

так же видем, что у нас абразовуется правилтная трапеция, то есть соответствующие куты равны.

так же с теоремы про сечную знаем, что внутрений и внешние куты одинаковые. тогда мы узнаём, что кут 2= 110°. А так как кут 3 и 2 смежные, то 180°- 110°=70°

Ответ дал: NNNLLL54
1

..............................................................................................................................

Приложения:
Вас заинтересует