• Предмет: Алгебра
  • Автор: akcnriabxg
  • Вопрос задан 3 года назад

помогите решитьььььььььььььььььььььььььььььььььььььььььь

Приложения:

Ответы

Ответ дал: Bigteasty
1
Номер 1
а) 2,1
б) 1,5
в) 2
Номер 2
а) 4
б) 28
в) 2
г) 72
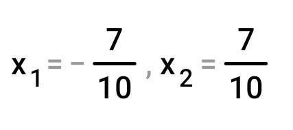
Номер 3
а) -0,7 и 0,7
б) -корень из 10 и корень из 10
Номер 6
Нет
Ответ дал: kuuuuya
1

Ответ:

Задание 1

а)

 \frac{1}{10} + \frac{ \sqrt{111} }{3}

б)

 \frac{3}{2}

в) 2

Задание 2

а) 4

б) 28

в) 2

г) 72

Задание 3

а) 1 прикрепленный скрин.

б) 2 скрин.

Остальное не знаю, сорри. За правильность не ручаюсь.

Приложения:
Вас заинтересует