Ответы
Ответ дал:
0
Ответ:
Объяснение:
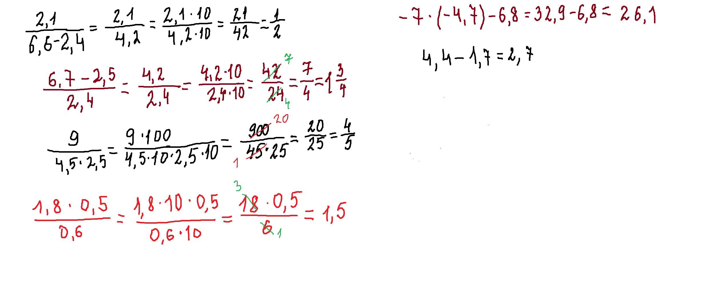
1. 2.1/(6.6 - 2.4) = 0,5
Сначала отнимаем то, что в знаменателе, в скобках:
6,6 - 2,4= 4,2
Потом 2,1 делим на 4,2 = 1/2 или 0,5
2. (6,7 - 2,5)/2,4 = 1,75
Сначала отнимаем то, что в числителе, в скобках:
6,7 - 2,5 = 4,2
Потом 4,2 делим на 2,4 = 1,75
3. -7×(-4,7) - 6,8 = 26,1
Сначала -7 умножаем на - 4,7: минус умноженный на минус будет плюс, поэтому -7×(-4,7)= 32,9
Потом от 32,9 отнимаем 6,8:
32,9-6,8 = 26,1
4. 4,4 - 1,7 = 2,7
Просто отнимаем, в столбик например.
5. 9/(4,5×2,5) = 0,8
Сначала выполним деление девяти на 4,5 - будет два, потом 2 делим на 2,5 = 0,8
6. 1,8×0,5÷0,6 = 1,5
Сначала 1,8 делим на 0,6, будет 3, потом 3 умножаем на 0,5 = 1,5
Ответ дал:
1
Ответ:
Объяснение:
решение смотри внизу
Приложения:

Вас заинтересует
2 года назад
2 года назад
8 лет назад
8 лет назад
9 лет назад