• Предмет: Информатика
  • Автор: arnur1baitursin
  • Вопрос задан 3 года назад

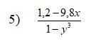
Записать следующие выражения на языке программирования.

Приложения:

Ответы

Ответ дал: SUPERTIMOXA
1

Ответ на языке Python:

x: float

y: float

(1.2 - 9.8*x) / (1 - y**3)

Вас заинтересует