• Предмет: Математика
  • Автор: Аноним
  • Вопрос задан 3 года назад

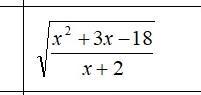
Найти область определения функции.помогите.

Приложения:

Ответы

Ответ дал: ersajynalmira
1

все в рисунке ..............

...

Приложения:

ersajynalmira: там неправильно
Вас заинтересует