• Предмет: Математика
  • Автор: dauytbaevazinura014
  • Вопрос задан 3 года назад

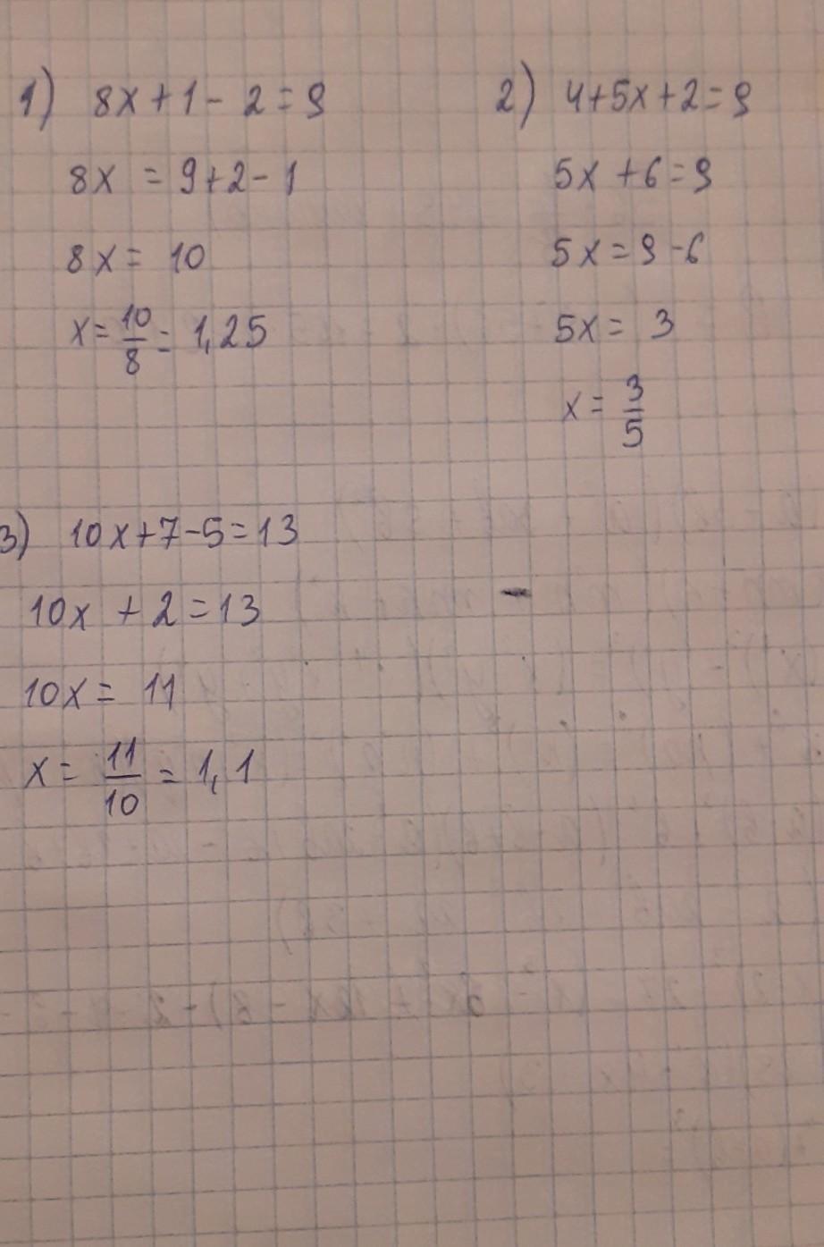
847*. 1) ||8x + 1 - 2) = 9; 2) (4 + 15x + 2 = 9;
3) ||10x + 7) - 5 = 13.
Памагите памагите памагите памагите памагите памагите памагите памагите памагите памагите памагите памагите памагите памагите памагите памагите памагите памагите памагите памагите памагите памагите памагите памагите памагите памагите памагите памагите памагите памагите памагите памагите памагите памагите памагите памагите памагите памагите памагите памагите памагите памагите памагите памагите памагите памагите памагите памагите памагите памагите ​

Приложения:

Ответы

Ответ дал: AitadzhQsmova
1

Ответ:

модуль о открывается положительно поэтому так есть так и пишем

Приложения:

dauytbaevazinura014: Посиба
Вас заинтересует