• Предмет: Алгебра
  • Автор: yonkada
  • Вопрос задан 3 года назад

Решите систему уравнений используя способ сложения ​

Приложения:

yonkada: короче я уже решила хах
annakaluzhenina: МГА )))

Ответы

Ответ дал: Kengarlan
0

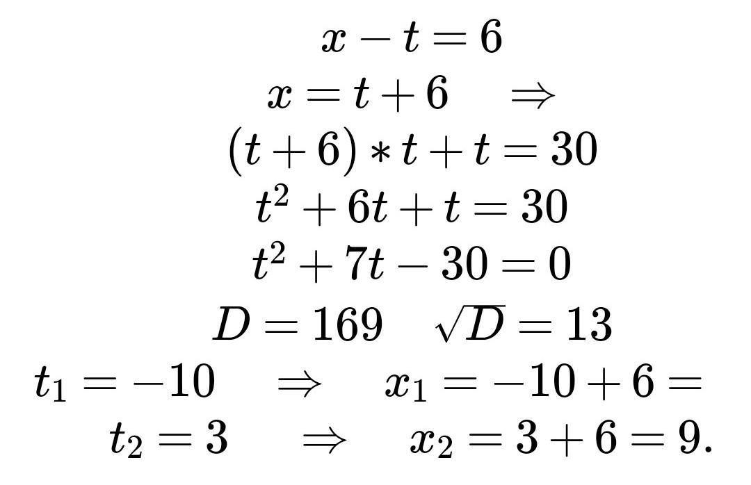
Ответ с решением на фотографии

Приложения:

yonkada: спасибо конечно, но я уже давно решила
Kengarlan: Не за что, извините что поздно отвечаю!
Вас заинтересует