• Предмет: Математика
  • Автор: dasha74311
  • Вопрос задан 3 года назад

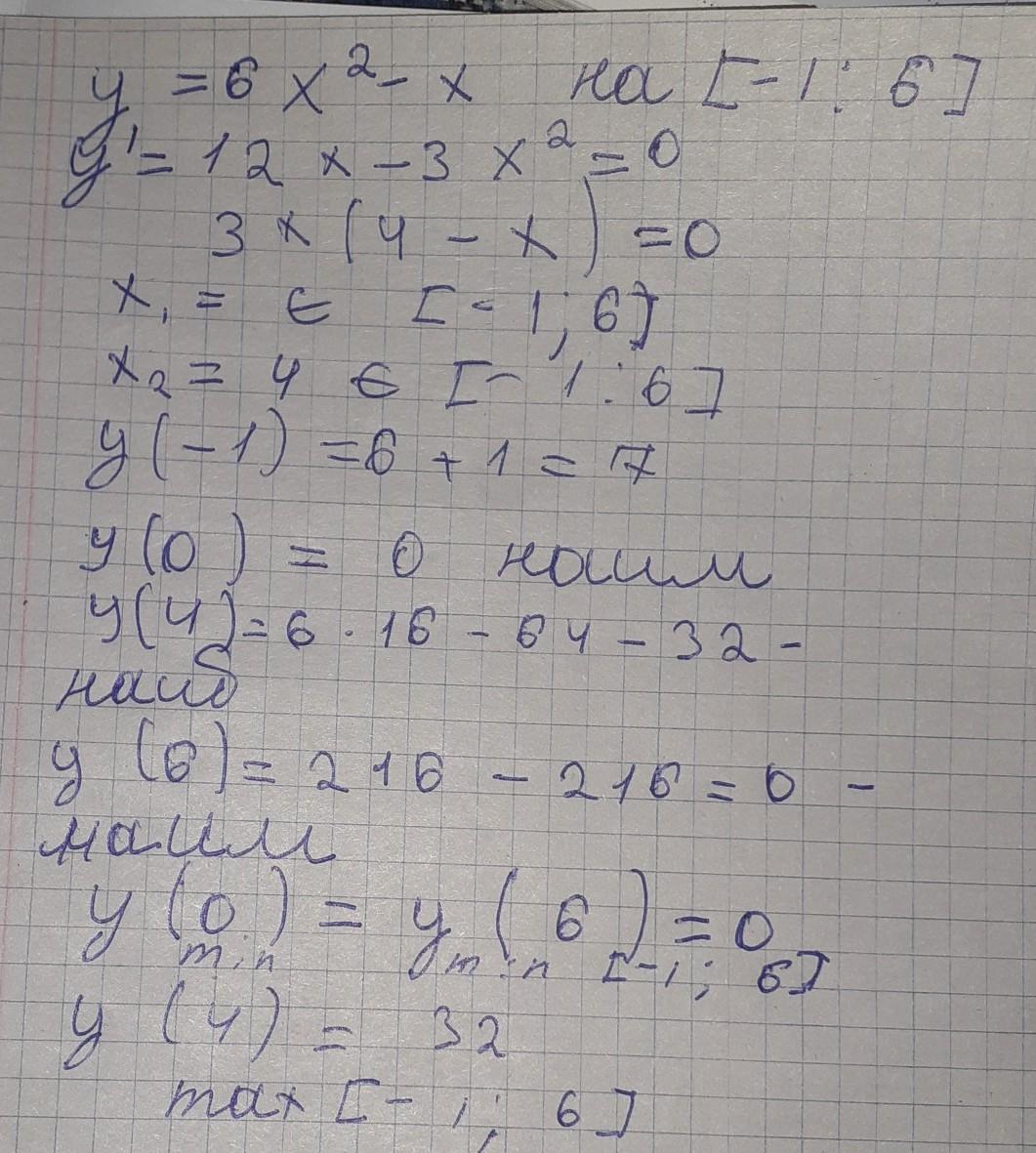
y=6x^2-x^3 определение интервала​

Ответы

Ответ дал: lala72461
1

Ответ:

вот сам писал прости за подчерк не понятный я его разрабатываю

Приложения:
Вас заинтересует