• Предмет: Алгебра
  • Автор: abdusalamovbasir10
  • Вопрос задан 3 года назад

Помогите срочно пожалуйста ​

Приложения:

Ответы

Ответ дал: taisasnitko
1

Ответ:

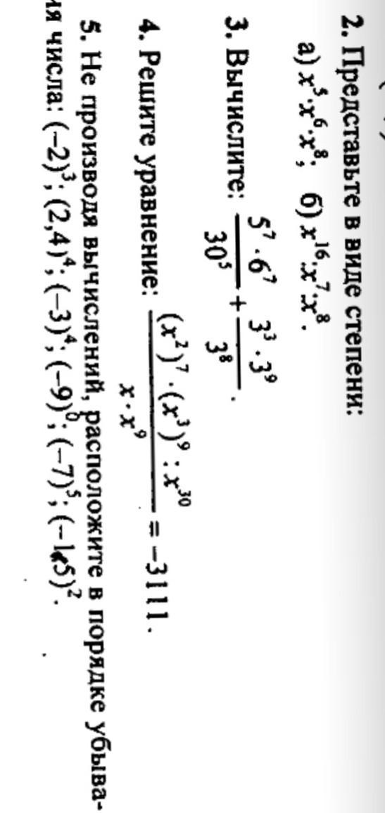
Объяснение:2.a)=x⁵⁺⁶⁺⁸=x¹⁹;  б)=x¹⁶⁻⁷⁻⁸=x.

3. =30⁷/30⁵ + 3¹²/3⁸=30²+3⁴=900+81=981.

4. x¹⁴·x²⁷:x³⁰:x¹⁰= -3111;

x¹⁴⁺²⁷⁻³⁰⁻¹⁰=3111;

x=-3111.

5. (-3)⁴>(2,4)⁴>(-1,5)²>(-9)⁰>(-2)³>(-7)³.

Вас заинтересует