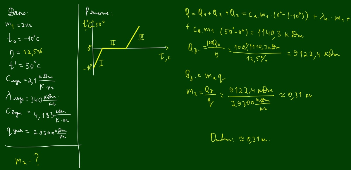
Сколько потребуется каменного угля, чтобы расплавить и превратить в воду 2 кг льда, если начальная температура его минус 10*С , а КПД установки =12.5%?Конечная температура воды 50*С. Полностью напишите решение.
Ответы
Ответ дал:
0
Решение на картинке.
Приложения:
Вас заинтересует
3 года назад
3 года назад
8 лет назад
8 лет назад
11 лет назад
11 лет назад
11 лет назад
11 лет назад