• Предмет: Математика
  • Автор: mfeed99k
  • Вопрос задан 3 года назад

Умножение матриц....

Приложения:

Ответы

Ответ дал: loadedgun
1

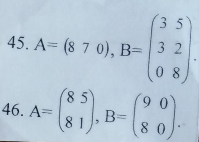
45. c11 = a11 * b11 + a12 * b21 + a13 * b31 = 8 * 3 + 7 * 3 + 0 * 0 = 24 + 21 + 0 = 45

c12 = a11 * b12 + a12 * b22 + a13 * b32 = 8 * 5 + 7 * 2 + 0 * 8 = 40 + 14 + 0 = 54

\left[\begin{array}{ccc}45&54\end{array}\right]

46. c11 = a11 * b11 + a12 * b21 = 8 * 9 + 5 * 8 = 72 + 40 = 112

c12 = a11 * b12 + a12 * b22 = 8 * 0 + 5 * 0 = 0 + 0 = 0  

c21 = a21 * b11 + a22 * b21 = 8 * 9 + 1 * 8 = 72 + 8 = 80

c22 = a21 * b12 + a22 * b22 = 8 * 0 + 1 * 0 = 0 + 0 = 0

\left[\begin{array}{ccc}112&0\\80&0\end{array}\right]

Вас заинтересует