• Предмет: Алгебра
  • Автор: aleksandrnaugolnyh32
  • Вопрос задан 3 года назад

помогите пожалуйста, очень срочно!!!!!!!!!!!!!!!!!!!!!!!!!!!!!!!!!!!!!!!!!!!!!!!!!!!!!!!!!!!!!!!!!!!!!!!!!!!!!!!!!!!!!!!!!!!!!!!!!!!
отдаю последнее.

Приложения:

Ответы

Ответ дал: st901087
1

Ответ:

Объяснение:

Пользуемся основным тригонометрическим тождеством, что

sin^2t + cos^2t =1

Тогда возводим данное в квадрат и отнимаем от единицы. Потом берем из результата корень. Знак функции ставим исходя из того, в какой четверти лежит t.

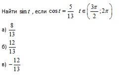
1) 1- 25/169=144/169

sin t = (+-) 12/13

t лежит в 4 четверти, где sin<0

Значит sin t= - 12/13

2) 1 - 0.64=0.36

cos t= (+-)0.6

t лежит в 3 четверти, где cos <0

Значит cos t= - 0.6

3) 1 - 576/676=100/676

cos t =(+-) 10/26

t лежит во 2 четверти, где cos <0

Значит cos t= - 10/26

tg t = sin t/ cos t= 24/26  : - 10/26=-24/10=-2.4

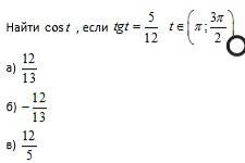
4) Теперь используем : cos^2 t = 1/(1+tg^2 t)

1 + tg^2 t = 1+25/144=169/144

cos^2 t= 144/169

cos t = (+-) 12/13

t лежит в 3 четверти, где cos <0

Значит cos t = - 12/13

5) Здесь сначала найдем tg - из него ctg:

tg^2 t =1/cos^2 t -1

cos ^2 t=9/25

tg^2 t= 25/9 -1=25/9 -9/9=16/9

ctg^2 t = 9/16

ctg t= (+-) 3/4

t лежит в 1 четверти, где cos , sin>0

ctg t= 3/4


aleksandrnaugolnyh32: спасибо большое
Вас заинтересует