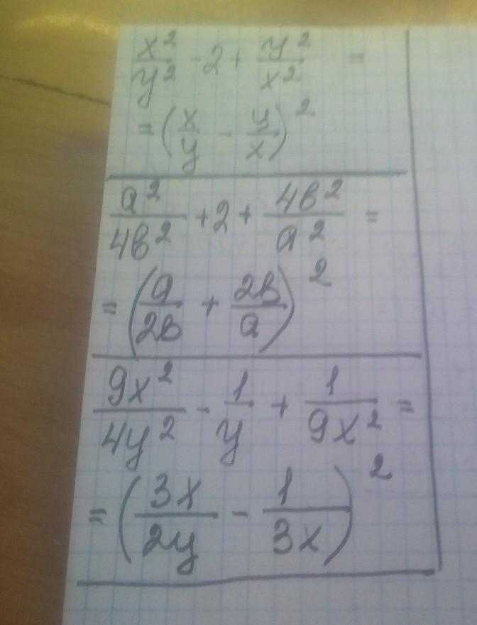
32.24. Представьте в виде квадрата двучлена трехчлен:
Приложения:

Dimasik106:
Какие номера?
Ответы
Ответ дал:
8
Ответ:
решение на фотографии
Приложения:


Вас заинтересует
2 года назад
2 года назад
2 года назад
8 лет назад
9 лет назад